Aporphine : Aporphine Alkaloids A Kind Of Alkaloids Extract Source Chemical Constitution And Pharmacological Actions In Different Botany Semantic Scholar / And other plant families 1 (figure 1).
Aporphine : Aporphine Alkaloids A Kind Of Alkaloids Extract Source Chemical Constitution And Pharmacological Actions In Different Botany Semantic Scholar / And other plant families 1 (figure 1).. For example, isoboldine can be found in the plants in the genera beilschmiedia, nandina (nandina domestica), glaucium (horn poppy), and other plants. Both naturally occurring and synthetic aporphine alkaloids possess. アポルフィン(aporphine)は、キノリン系アルカロイドの1分類である。 様々な植物から、多くの種類のアポルフィンが単離されている 。 最も一般的に用いられるアポルフィン誘導体はアポモルヒネで、nymphaea caeruleaで見られる。 その他の植物由来のアポルフィンには、癌やトリパノソーマ症に. Aporphine alkaloids, characterized by a heterocyclic aromatic basic skeleton, are known from different organisms and exhibit various biological activities: Apomorphine (sublingual/ injection) (a poe mor feen) brand name:
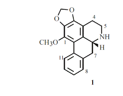
Aporphine is the primary alkaloid of interest in blue lotus and it will vaporize at 257 degrees fahrenheit (125 degrees celsius). It got its name because it was synthesized from morphine at one point.) apomorphine has been used as a drug some time ago, still has some clinical uses, particularly in veterinary medicine, and is a dopamine receptor (d1 and d2) agonist. Aporphine is an alkaloid with the chemical formula c 17h 17n. Annonaceae, lauraceae, monimiaceae, menispermaceae, hernandiaceae. Compound 1 might be derived from a common aporphine skeleton, which may have undergone biogenetic rearrangement and cleavage of the aromatic ring.
Aporphine Alkaloids A Kind Of Alkaloids Extract Source Chemical Constitution And Pharmacological Actions In Different Botany Semantic Scholar from d3i71xaburhd42.cloudfront.net Find everything you need to know about apomorphine (apokyn), including what it is used for, warnings, reviews, side effects, and interactions. And other plant families 1 (figure 1). Liriodenine, an aporphine alkaloid from enicosanthellum pulchrum, inhibits proliferation of human ovarian cancer cells through induction of apoptosis via the mitochondrial signaling pathway and blocking cell cycle progression. Definition of aporphine in the definitions.net dictionary. Its structural formula and molecular weight are: The review gives information which provides an overview of the latest progress in … Learn more about apomorphine (apokyn) at. It is an isoquinoline alkaloid fundamental parent, an aporphine alkaloid and a tertiary amino compound.
For example, isoboldine can be found in the plants in the genera beilschmiedia, nandina (nandina domestica), glaucium (horn poppy), and other plants.
Read full article at wikipedia. Find everything you need to know about apomorphine (apokyn), including what it is used for, warnings, reviews, side effects, and interactions. Its structural formula and molecular weight are: Both naturally occurring and synthetic aporphine alkaloids possess. Compound 1 might be derived from a common aporphine skeleton, which may have undergone biogenetic rearrangement and cleavage of the aromatic ring. The review gives information which provides an overview of the latest progress in … It derives from a hydride of an aporphine. アポルフィン(aporphine)は、キノリン系アルカロイドの1分類である。 様々な植物から、多くの種類のアポルフィンが単離されている 。 最も一般的に用いられるアポルフィン誘導体はアポモルヒネで、nymphaea caeruleaで見られる。 その他の植物由来のアポルフィンには、癌やトリパノソーマ症に. Apomorphine is a d1/d2 dopamine receptor agonist from the aporphine (nonopiate) drug class. Definition of aporphine in the definitions.net dictionary. Apomorphine (sublingual/ injection) generic name: Nordin n, majid na, hashim nm, rahman ma, hassan z, ali hm. Dopaminergic antiparkinsonism agents medically reviewed by drugs.com on aug 11, 2020.
Read full article at wikipedia. Its structure was determined by extensive spectroscopic. It derives from a hydride of an aporphine. This material is provided for educational purposes only and is not intended for medical advice, diagnosis or treatment. The review gives information which provides an overview of the latest progress in …
Aporphine Wikipedia from upload.wikimedia.org Aporphine is classified as an alkaloid, and it comes from the nelumbo nucifera gaertn leaves. Learn more about apomorphine (apokyn) at. For example, isoboldine can be found in the plants in the genera beilschmiedia, nandina (nandina domestica), glaucium (horn poppy), and other plants. The review gives information which provides an overview of the latest progress in … Annonaceae, lauraceae, monimiaceae, menispermaceae, hernandiaceae. Read full article at wikipedia. Definition of aporphine in the definitions.net dictionary. Both naturally occurring and synthetic aporphine alkaloids possess.
Data sources include ibm watson micromedex (updated 1 july 2021), cerner multum™ (updated 1 july 2021), ashp (updated 30 june.
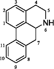
Apomorphine (sublingual/ injection) (a poe mor feen) brand name: Find everything you need to know about apomorphine (apokyn), including what it is used for, warnings, reviews, side effects, and interactions. It is the core chemical substructure of the aporphine alkaloids, a subclass of quinoline alkaloids. It's a dopamine receptor antagonist that's been used for thousands of years as a natural treatment for multiple medical conditions. Apomorphine (sublingual/ injection) generic name: Aporphine alkaloids, characterized by a heterocyclic aromatic basic skeleton, are known from different organisms and exhibit various biological activities: Aporphine and anonaine · see more » apomorphine. Read full article at wikipedia. It derives from a hydride of an aporphine. The review gives information on aporphine alkaloids and their oxo and dehydro derivatives and discusses the characteristic features of the chemical and spectral properties of these alkaloids. Figure 1 shows the basic aporphine skeleton 2. It got its name because it was synthesized from morphine at one point.) apomorphine has been used as a drug some time ago, still has some clinical uses, particularly in veterinary medicine, and is a dopamine receptor (d1 and d2) agonist. The review gives information which provides an overview of the latest progress in …
Its structure was determined by extensive spectroscopic. Aporphine is classified as an alkaloid, and it comes from the nelumbo nucifera gaertn leaves. Dopaminergic antiparkinsonism agents medically reviewed by drugs.com on aug 11, 2020. Blue lotus flower has been enjoyed for thousands of years by civilizations around the world. One aporphine derivative is apomorphine (which is not in any way analagous to morphine in its effect.
Aporphine from pharmaxchange.info Apomorphine is an aporphine alkaloid. Learn more about apomorphine (apokyn) at. Find everything you need to know about apomorphine (apokyn), including what it is used for, warnings, reviews, side effects, and interactions. Aporphine is an alkaloid with the chemical formula c 17h 17n. It got its name because it was synthesized from morphine at one point.) apomorphine has been used as a drug some time ago, still has some clinical uses, particularly in veterinary medicine, and is a dopamine receptor (d1 and d2) agonist. Apomorphine is a d1/d2 dopamine receptor agonist from the aporphine (nonopiate) drug class. And other plant families 1 (figure 1). Dactyllactone a (1), which was isolated from dactylicapnos scandens, is an isoquinoline alkaloid with a rearranged and reconstructed d ring, making it the first of a new subtype of aporphines.
Apomorphine (sublingual/ injection) generic name:
Dopaminergic antiparkinsonism agents medically reviewed by drugs.com on aug 11, 2020. Grinding the leaf is still important. Apomorphine (sublingual/ injection) generic name: Apomorphine is an aporphine alkaloid. Download to read the full article text. This material is provided for educational purposes only and is not intended for medical advice, diagnosis or treatment. Definition of aporphine in the definitions.net dictionary. Aporphine is classified as an alkaloid, and it comes from the nelumbo nucifera gaertn leaves. For example, isoboldine can be found in the plants in the genera beilschmiedia, nandina (nandina domestica), glaucium (horn poppy), and other plants. It is the core chemical substructure of the aporphine alkaloids, a subclass of quinoline alkaloids. Learn more about apomorphine (apokyn) at. Read full article at wikipedia. Compound 1 might be derived from a common aporphine skeleton, which may have undergone biogenetic rearrangement and cleavage of the aromatic ring.
Grinding the leaf is still important apor. It is the core chemical substructure of the aporphine alkaloids, a subclass of quinoline alkaloids.
Posting Komentar
0 Komentar